2017年成考专升本高等数学二考试精选题及答案三
发布日期:2018-12-25 整理编辑:贵州成考网浏览量()
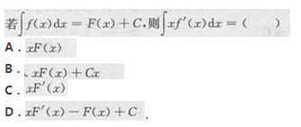
第1题

答案:D
第2题

答案:D
第3题

答案:B
第4题

答案:C
第5题

答案:A
第6题

答案:C
第7题

答案:B
第8题

答案:B
第9题 某小组共有9人但仅有一张球票,若采用抽签法,则( )
A.第一个抽签者得票的概率最大 B.第五个抽签者得票的概率最大
C.每个抽签者得票的概率相等 D.最后抽签者得票的概率最小
答案:C
第10题

答案:C
本文标签:贵州成考 高等数学二 2017年成考专升本高等数学二考试精选题及答案三
转载请注明:文章转载自(http://www.crgkxy.com/)
⊙小编提示:添加【贵州成考网】招生老师微信,即可了解2024年贵州成考政策资讯、成考报名入口、准考证打印入口、成绩查询时间以及领取历年真题资料、个人专属备考方案等相关信息!

(添加“贵州成考网”招生老师微信,在线咨询报名报考等相关问题)
相关推荐
贵州成考网在线客服
对学历提升有疑惑?
在线老师随时解惑



