2017年福建成人高考高起点文史财经类数学考试真
2017年成人高等学校高起点招生全国统一考试
数 学
本试卷分第I卷(选择题)和第Ⅱ卷(非选择题)两部分。满分150分。考试时间150分钟。
第I卷(选择题,共85分)
一、选择题(本大题共17小题,每小题5分,共85分.在每小题给出的四个选项中,只有一项是符合题目要求的)
1.设集合M={1,2,3,4,5),N={2,4,6),则M∩N=( )
A.{2,4) B.(2,4,6) C.(1,3,5) D.{1,2,3,4.5,6)
2.函数y=3sin
的最小正周期是( )
A.8π B.4π C.2π D.2π
3.函数y=
的定义城为( )
A.{x|x
0} B.{x|x
1} C.{x|
x
1} D.{x|
0
1}
4.设a,b,c为实数,且a>b,则( )
A.a-c>b-c B.|a|>|b| C.
>
D.ac>bc
5.若
<
<
,且sin
=
,则
=( )
A
B.
C.
D.
6.函数y=6sinxcosc的最大值为( )
A.1 B.2 C.6 D.3
7.右图是二次函数y=
+bx+c的部分图像,则( )
A.b>0,c>0 B.b>0,c<0 C.b<0,c>0 D.b<0,c<0 0
8.已知点A(4,1),B(2,3),则线段AB的垂直平分线方程为( )
A.x-y+1=0 B.x+y-5=0 C.x-y-1=0 D.x-2y+1=0
9.函数y=
是( )
A.奇函数,且在(0,+
)单调递增 B.偶函数,且在(0,+
)单调递减
C.奇函数,且在(-
,0)单调递减 D.偶函数,且在(-
,0)单调递增
10.一个圆上有5个不同的点,以这5个点中任意3个为顶点的三角形共有( )
A.60个 B.15个 C.5个 D.10个
11.若lg5=m,则lg2=( )
A.5m B.1-m C.2m D.m+1
12.设f(x+1)=x(x+1),则f(2)= ( )
A.1 B.3 C.2 D.6
13.函数y=
的图像与直线x+3=0的交点坐标为( )
A.(-3,-
) B.(-3,
) C.(-3,
) D.(-3,-
)
14.双曲线
-
的焦距为( )
A.1 B.4 C.2 D.
15.已知三角形的两个顶点是椭圆C:
+
=1的两个焦点,第三个顶点在C上,则该三角形的周长为( )
A.10 B.20 C.16 D.26
16.在等比数列{
}中,若
=10,则
,+
=( )
A.100 B.40 C.10 D.20
17.若1名女生和3名男生随机地站成一列,则从前面数第2名是女生的概率为( )
A.
B.
C.
D.
第Ⅱ卷(非选择题,共65分)
二、填空题(本大题共4小题,每小题4分,共16分)
18.已知平面向量a=(1,2),b=(-2,3),2a+3b= .
19.已知直线1和x-y+1=0关于直线x=-2对称,则1的斜率为= .
20.若5条鱼的平均质量为0.8kg,其中3条的质量分别为0.75kg,0.83kg和0.78kg,则其余2条的平均质量为 kg.
21.若不等式|ax+1|<2的解集为{x|-
<x<
},则a= .
三.解答题(本大题共4小题,共49分.解答应写出推理、演算步骤)
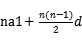
22. (本小题满分12分)
设{
}为等差数列,且
=8.
(1)求{
}的公差d;
(2)若
=2,求{
前8项的和
.
23.(本小题满分12分)
设直线y=x+1是曲线y=
+3
+4x+a的切线,求切点坐标和a的值。
24.(本小题满分12分)
如图,AB与半径为1的圆0相切于A点,AB=3,AB与圆0的弦AC的夹角为50°.求
(1)AC:
(2)△ABC的面积.(精确到0.01) C
A B
25. (本小题满分13分)
已知关于x,y的方程
+
4xsin
-4ycos
=0.
(1)证明:无论
为何值,方程均表示半径为定长的圆;
(2)当
=
时,判断该圆与直线y=x的位置关系.
2017年成人高等学校高起点招生全国统一考试
数学(理工农医类)答案及评分参考
一、选择题
1.A 2.A 3.D 4.A 5.B 6.D 7.A 8.C 9.C 10.D 11.B 12.C 13.B 14.B 15.C 16.D 17.A
二、填空题
18. (-4,13) 19.-1 20.0.82 21.2
三、解答题
22.因为{
}为等差数列,所以
(1)
+
-2
=
+d+
+3d-2
=4d=8,
d=2.
(2)
=
=2
8+
2
=72.
23.因为直线y=x+1是曲线的切线,所以y'=3
+6x+4=1.解得x=-1.
当x=-1时,y=0,
即切点坐标为(-1,0).
故0=
+3
+4
(-1)+a=0
解得a=2.
24.(1)连结OA,作OD⊥AC于D.
因为AB与圆相切于A点,所以∠OAB=90°. C
则∠0AC=90°=50°-40°.

AC=2AD
=2OA·cos∠OAC D
=2
1.54. A B
(2)S△ABC=
AB·ACsin∠BAC
=
=3os240°
=l.78.
25. (1)证明:
化简原方程得
X2+4xsin
+4sin2
+y2-4y
+4
-4sin2
-4
=0,
(36+2sin
)2+(y-2cos
)2=4,
所以,无论
为何值,方程均表示半径为2的圆。
(2)当
=
时,该圆的圆心坐标为O(-
,
).
圆心O到直线y=x的距离
d=
=2=r.
即当
=
时,圆与直线y=x相切.
本文标签:贵州成考 文数 2017年福建成人高考高起点文史财经类数学考试真
转载请注明:文章转载自(http://www.crgkxy.com/)
⊙小编提示:添加【贵州成考网】招生老师微信,即可了解2024年贵州成考政策资讯、成考报名入口、准考证打印入口、成绩查询时间以及领取历年真题资料、个人专属备考方案等相关信息!

(添加“贵州成考网”招生老师微信,在线咨询报名报考等相关问题)
贵州成考网在线客服
对学历提升有疑惑?
在线老师随时解惑



