2020成人高考高升专《文科数学》练习及答案(三)
发布日期:2020-10-13 整理编辑:贵州成考网浏览量()
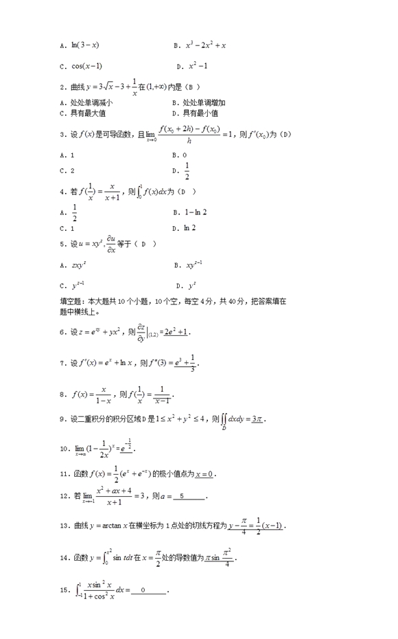
      选择题
1.下列函数中,当X->1时,与无穷小量(1-X)相比是高阶无穷小的是(B)
	
本文标签:贵州成考 高等数学二 2020成人高考高升专《文科数学》练习及答案(三)
转载请注明:文章转载自(http://www.crgkxy.com/)
⊙小编提示:添加【贵州成考网】招生老师微信,即可了解2024年贵州成考政策资讯、成考报名入口、准考证打印入口、成绩查询时间以及领取历年真题资料、个人专属备考方案等相关信息!

(添加“贵州成考网”招生老师微信,在线咨询报名报考等相关问题)
贵州成考网在线客服
 
					
						对学历提升有疑惑?
						在线老师随时解惑
						

 
 

