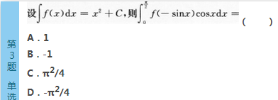
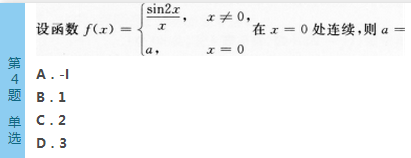
2016年成人高考专升本高等数学(二)模拟试题(2)
发布日期:2018-11-17 整理编辑:贵州成考网浏览量()
      2016年成人高考专升本高等数学(二)模拟试题(2)
 
 
 
 
 
 
 
 
 
 
                
             本文标签:贵州成考 高等数学二 2016年成人高考专升本高等数学(二)模拟试题(2)
转载请注明:文章转载自(http://www.crgkxy.com/)
⊙小编提示:添加【贵州成考网】招生老师微信,即可了解2024年贵州成考政策资讯、成考报名入口、准考证打印入口、成绩查询时间以及领取历年真题资料、个人专属备考方案等相关信息!

(添加“贵州成考网”招生老师微信,在线咨询报名报考等相关问题)
贵州成考网在线客服
 
					
						对学历提升有疑惑?
						在线老师随时解惑
						

 
 

