2023年贵州成考大专理化综合基础试题及答案四
[单选题]下列各组物质中,互为同系物的是()。
A乙烷和2-甲基丁烷
B己烯和丙炔
C甲苯和环己烷
D丙烷和环丙烷
参考答案:A
[单选题]在静电场中,电子沿着电场线的方向从A点移到B点,则()
A电场力做功为正,A点电势高于B点电势
B电场力做功为负,A点电势高于B点电势
C电场力做功为正,A点电势低于B点电势
D电场力做功为负,A点电势低于B点电势
参考答案:B
[单选题]伦琴射线实际上是()。
A电磁波
B高速电子流
C高速中子流
D高速质子流
参考答案:A
[单选题]某人从甲地开始以速度υ1跑到了乙地后,再用速度υ2返回甲地.此人在运动全过程中的平均速度是( )
A
B
C
D
参考答案:C
[单选题]空间有两个正、负点电荷+Q1、-Q2,则空间()。
A电场强度为零的点一定在两点电荷的连线上,电势为零的点也一定在两点电荷的连线上
B电场强度为零的点一定在两点电荷的连线上,电势为零的点不一定在两点电荷的连线上
C电场强度为零的点不一定在两点电荷的连线上,电势为零的点一定在两点电荷的连线上
D电场强度为零的点不一定在两点电荷的连线上,电势为零的点也不一定在两点电荷的连线上
参考答案:B
[单选题]一个质点做简谐运动,其位移2与时间t的关系曲线如图6—13所示,在t=4s时,对质点运动状况,下面几种判断正确的是()。

A速度为正的最大值,加速度为零
B速度为负的最大值,加速度为零
C速度为零,加速度为正的最大值
D速度为零,加速度为负的最大值
参考答案:D
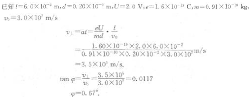
[单选题]有人用图1-3所示的电路来测量电源电动势和内阻,测量的结果是()。

A![]()
B![]()
C![]()
D![]()
参考答案:C
[单选题]在蒸发皿中蒸干灼烧下列物质的浓溶液,可以得到该物质的固体的是()。
A碳酸氢钠
B硫酸钠
C氯化铁
D高锰酸钾
参考答案:B
[问答题]

根据以上实验可判断:
A为______,滤液B中的反应产物为______,沉淀C为______,滤液D中的反应产物为______,沉淀E为______(均填物质化学式)。
参考答案:
![]()
[问答题]

参考答案:

本文标签:贵州成考 理化 2023年贵州成考大专理化综合基础试题及答案四
转载请注明:文章转载自(http://www.crgkxy.com/)
⊙小编提示:添加【贵州成考网】招生老师微信,即可了解2024年贵州成考政策资讯、成考报名入口、准考证打印入口、成绩查询时间以及领取历年真题资料、个人专属备考方案等相关信息!

(添加“贵州成考网”招生老师微信,在线咨询报名报考等相关问题)
贵州成考网在线客服
对学历提升有疑惑?
在线老师随时解惑



