2022年贵州成人高考高起点数学(理)考试模拟试题及答案一
一、选择题:本大题共17个小题,每小题5分,共85分。在每小题给出的四个选项中,只有一项是符合题目要求的。
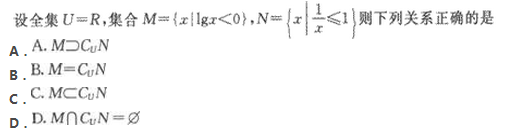
第1题

答案:C
第2题

答案:A
第3题

答案:C
第4题

答案:D
第5题

答案:C
!
第6题

答案:A
第7题

答案:D
第8题

答案:B
第9题

答案:D
第10题

答案:C
第11题

答案:B
第12题

答案:D
第13题

答案:D
第14题

答案:D
第15题

答案:A
第16题

答案:C
第17题

答案:C
二、填空题:本大题共4小题,每小题4分,共16分。把答案填写在题中的横线上。
第18题 5个人用抽签的方法分配两张电影票,第一个抽的人得到电影票的概率是__________。
答案:2/5
第19题 甲、乙两人同时生产同样产品,现从两人生产的产品中各抽取5个,测得其重量如下(单位:克)
甲产品的重量:14.7 14.9 15.2 15.0 15.2
乙产品的重量:15.4 14.6 15.3 14.9 14.8
从两组数据可以断定,__________生产的零件的重量较稳定.
答案:甲
第20题

答案:3/4
第21题

答案:2
三、解答题:本大题共4小题,共49分。解答应写出推理、演算步骤。
第22题

答案:

第23题

答案:

第24题

答案:

第25题

答案:

本文标签:贵州成考 理数 2022年贵州成人高考高起点数学(理)考试模拟试题及答案一
转载请注明:文章转载自(http://www.crgkxy.com/)
⊙小编提示:添加【贵州成考网】招生老师微信,即可了解2024年贵州成考政策资讯、成考报名入口、准考证打印入口、成绩查询时间以及领取历年真题资料、个人专属备考方案等相关信息!

(添加“贵州成考网”招生老师微信,在线咨询报名报考等相关问题)
贵州成考网在线客服
对学历提升有疑惑?
在线老师随时解惑



