2022年贵州成人高考高起点文史财经类数学考试模拟试题一
一、选择题:本大题共17个小题,每小题5分,共85分。在每小题给出的四个选项中,只有一项是符合题目要求的。
第1题

答案:D
第2题

答案:A
第3题

答案:C
第4题

答案:B
第5题

答案:D
第6题 由数字1,2,3,4,5组成无重复数字的二位奇数个数是
A.5 B.8 C.10 D.12
答案:D
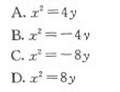
第7题 抛物线顶点在坐标原点,焦点在3,轴上,其上点P(m,-3)到焦点距离为5,则抛物线的方程为()

答案:C
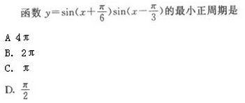
第8题

答案:B
第9题

答案:A
第10题 用0,1,2,3,4,5这六个数字,可组成没有重复数字的六位数的个数是
A.120 B.600 C.714 D.720
答案:B
第11题

答案:C
第12题

答案:C
第13题 从15名学生中选出两人担任正、副班长,不同的选举结果共有( )
A.30种 B.90种 C.210种 D.225种
答案:C
第14题

答案:A
第15题

答案:D
第16题

答案:B
第17题

答案:B
二、填空题:本大题共4小题,每小题4分,共16分。把答案填写在题中的横线上。
第18题 5个人用抽签的方法分配两张电影票,第一个抽的人得到电影票的概率是__________。
答案:2/5
第19题 在4张卡片上分别写有数字1,2,3,4,由这4张卡片组成个位数字不是2,百位数 字不是3的四位数有__________个.
答案: 14
第20题

答案:(-5,4)
第21题

答案:6
第22题

答案:

第23题

答案:

第24题

答案:

第25题

答案:

本文标签:贵州成考 文数 2022年贵州成人高考高起点文史财经类数学考试模拟试题一
转载请注明:文章转载自(http://www.crgkxy.com/)
⊙小编提示:添加【贵州成考网】招生老师微信,即可了解2024年贵州成考政策资讯、成考报名入口、准考证打印入口、成绩查询时间以及领取历年真题资料、个人专属备考方案等相关信息!

(添加“贵州成考网”招生老师微信,在线咨询报名报考等相关问题)
贵州成考网在线客服
对学历提升有疑惑?
在线老师随时解惑



