2022年贵州成人高考高起点文史财经类数学考试模拟试题十
一、选择题:本大题共17个小题,每小题5分,共85分。在每小题给出的四个选项中,只有一项是符合题目要求的。
第1题

答案:D
第2题

答案:B
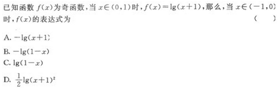
第3题

答案:A
第4题 5人排队照相,甲刚好站在排头的概率为
A.1/5 B.1/120 C.1/24 D.24/120
答案:B
第5题

答案:B
第6题 用0,1,2,…,9这十个数字,可以组成没有重复数字的三位数的个数为
A.720 B.648 C.620 D.548
答案:B
第7题

答案:C
第8题

答案:B
第9题

答案:C
第10题

答案:A
第11题

答案:A
第12题

答案:B
第13题

答案:A
第14题

答案:B
第15题

答案:C
第16题

答案:D
第17题

答案:D
二、填空题:本大题共4小题,每小题4分,共16分。把答案填写在题中的横线上。
第18题

答案:

第19题 从标有1~9九个数字的九张卡片中任取2张,那么卡片上两数之积为偶数的概率P等于__________。
答案:13/18
第20题

答案:1.030
第21题

答案:

三、解答题:本大题共4小题,共49分。解答应写出推理、演算步骤。
第22题

答案:

第23题

答案:

第24题 火车由A站出发,经过8站开往C站,已知A、B两站相距150km,B、C两站相距 180km,火车速度为60km/h,写出火车越过B站的距离y(km)与时间t(h)的函数 关系式,并求出函数的定义域与值域。
答案:

第25题 设抛物线y2=2x与直线y=x+b相交于A、B两点,弦AB长为12,求b的值.
答案:

本文标签:贵州成考 文数 2022年贵州成人高考高起点文史财经类数学考试模拟试题十
转载请注明:文章转载自(http://www.crgkxy.com/)
⊙小编提示:添加【贵州成考网】招生老师微信,即可了解2024年贵州成考政策资讯、成考报名入口、准考证打印入口、成绩查询时间以及领取历年真题资料、个人专属备考方案等相关信息!

(添加“贵州成考网”招生老师微信,在线咨询报名报考等相关问题)
贵州成考网在线客服
对学历提升有疑惑?
在线老师随时解惑



