2022年贵州成人高考高起点文史财经类数学考试模拟试题八
一、选择题:本大题共17个小题,每小题5分,共85分。在每小题给出的四个选项中,只有一项是符合题目要求的。
第1题

答案:C
第2题

答案:A
第3题

答案:D
第4题

答案:B
第5题 甲、乙两人射击的命中率都是0.6,他们对着目标各自射击一次,恰有一人击中目标的概率是( )
A.0.36 B.0.48 C.0.84 D.1
答案:B
第6题 A、B、C为集合,则“A=B”是“A∩C=B∩C”的
A.充分不必要条件 B.必要不充分条件 C.充要条件 D.既非充分又非必要条件
答案:A
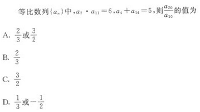
第7题

答案:B
第8题

答案:A
第9题

答案:C
第10题

答案:A
第11题

答案:C
第12题

答案:C
第13题

答案:A
第14题

答案:A
第15题

答案:A
第16题 从8位同学中产生1名组长、1名副组长,不同的选法共有
A.8种 B.16种 C.28种 D.56种
答案:D
第17题

答案:D
二、填空题:本大题共4小题,每小题4分,共16分。把答案填写在题中的横线上。
第18题

答案:

第19题

答案:-8/3
第20题

答案:[1/4,1/2]
第21题 在9与243中间插入两个数,使它们同这两个数成等比数列,那么这两个数为__________、__________。
答案:27,81
三、解答题:本大题共4小题,共49分。解答应写出推理、演算步骤。
第22题

答案:

第23题

答案:

第24题

答案:

第25题

答案:

本文标签:贵州成考 文数 2022年贵州成人高考高起点文史财经类数学考试模拟试题八
转载请注明:文章转载自(http://www.crgkxy.com/)
⊙小编提示:添加【贵州成考网】招生老师微信,即可了解2024年贵州成考政策资讯、成考报名入口、准考证打印入口、成绩查询时间以及领取历年真题资料、个人专属备考方案等相关信息!

(添加“贵州成考网”招生老师微信,在线咨询报名报考等相关问题)
贵州成考网在线客服
对学历提升有疑惑?
在线老师随时解惑



