2022年贵州成人高考高起点文史财经类数学考试模拟试题九
一、选择题:本大题共17个小题,每小题5分,共85分。在每小题给出的四个选项中,只有一项是符合题目要求的。
第1题

答案:B
第2题 直线z的方程为x-y-2=0,它关于点(1,-4)的对称直线方程为
A.x+y-8=0 B.x-y-8=0 C.z+y+8=0 D.x-y+8=0
答案:B
第3题

答案:C
第4题

答案:D
第5题 由数字1,2,3,4,5组成无重复数字的二位奇数个数是
A.5 B.8 C.10 D.12
答案:D
第6题

答案:C
第7题

答案:D
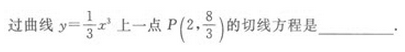
第8题

答案:D
第9题

答案:B
第10题 A、B全不为零是Ax+By+C=0为直线方程的
A.充分非必要条件 B.必要非充分条件 C.充要条件 D.既非充分也飞必要条件
答案:A
第11题

答案:C
第12题

答案:D
第13题

答案:B
第14题 已知2a+b=3c,3a-b=2c,a与b的关系是
A.a=6 B.a=2b C.a=-b D.a=2b
答案:A
第15题

答案:B
第16题 点(-1,-2)关于直线x+y=0对称的点的坐标
A.(1,2) B.(2,1) C.(-2,-1) D.(-1,-2)
答案:B
第17题

答案:D
二、填空题:本大题共4小题,每小题4分,共16分。把答案填写在题中的横线上。
第18题

答案:12x-3y-16=0
第19题

答案:

第20题

答案:2
第21题

答案:8
三、解答题:本大题共4小题,共49分。解答应写出推理、演算步骤。
第22题

答案:

第23题

答案:

第24题

答案:

第25题

答案:

本文标签:贵州成考 文数 2022年贵州成人高考高起点文史财经类数学考试模拟试题九
转载请注明:文章转载自(http://www.crgkxy.com/)
⊙小编提示:添加【贵州成考网】招生老师微信,即可了解2024年贵州成考政策资讯、成考报名入口、准考证打印入口、成绩查询时间以及领取历年真题资料、个人专属备考方案等相关信息!

(添加“贵州成考网”招生老师微信,在线咨询报名报考等相关问题)
贵州成考网在线客服
对学历提升有疑惑?
在线老师随时解惑



